প্রিয় শিক্ষার্থী বন্ধুরা তোমরা হয়তো তোমাদের ১৩তম সপ্তাহের সপ্তম শ্রেণীর গণিত অ্যাসাইনমেন্ট সমাধান ২০২১ খুজছো। তোমাদের আর কোনো চিন্তা নাই। তোমরা সঠিক জায়গায় চলে এসেছো। এখানে তোমরা ৭ম শ্রেণির গণিত এসাইনমেন্ট সমাধান ১৩তম সপ্তাহ পেয়ে যাবে।
ত্রয়োদশ সপ্তাহে তোমাদের মোট দুটি এসাইনমেন্ট লিখতে হবে। যার একটি হলো বংলা এবং অন্যটি গণিত। যেহেতু বাংলা অ্যাসাইনমেন্টটি প্রথমে ছিলো সেহেতু আশা করছি সেটা তোমরা লিখে ফেলেছো। যদি না লিখে থাকে তাহলে এই পোস্টের নিচে লিংক দেওয়া থাকবে সেখান থেকে তোমরা লিখে নিও।
১৩তম সপ্তাহের সপ্তম শ্রেণীর গণিত অ্যাসাইনমেন্ট সমাধান ২০২১
৭ম শ্রেণির শিক্ষার্থীরা তোমরা নিশ্চয় তোমাদের গণিত বইয়ের ৪র্থ অধ্যায়ের অঙ্কগুলো করেছো। যদি করে থাকো তাহলে তোমাদের জন্য আজকের ৭ম শ্রেণীর গণিত এসাইনমেন্ট টি সহজ হবে। আর তোমাদের যদি কারো এই ৭ম শ্রেণির গণিত ৪র্থ অধ্যায়টি করা না থাকে তাহলে তোমরা অবশ্যই এই অধ্যায়ের অঙ্কগুলো করে তারপর অ্যাসাইনমেন্ট করা শুরু কর।
তোমাদের ৭ম শ্রেণির গণিত ৪র্থ অধ্যায়টি হচ্ছে বীজগণিতিয় রাশির গুণ ও ভাগ সম্পর্কিত। এই অধ্যায়টি তোমাদের জন্য সহজ একটি অধ্যায়। তো চলো শিক্ষার্থী বন্ধুরা তোমাদের ১৩ সপ্তাহের গণিত ৭ম শ্রেণির অ্যাসাইনমেন্ট প্রশ্নগুলো দেখে নিই।
১৩ সপ্তাহের গণিত ৭ম শ্রেণির অ্যাসাইনমেন্ট প্রশ্ন
বিষয়ঃ গণিত
অ্যাসাইনমেন্ট ক্রমঃ ৭ম শ্রেণির গণিত অ্যাসাইনমেন্ট ৩
অধ্যায়ের নামঃ ৪র্থ অধ্যায় (বীজগণিতিয় রাশির গুণ ও ভাগ)
বিষয়বস্তুঃ ১. বীজগণিতীয় রাশির গুণ
১. বীজগণিতীর রাশির গুণ ও ভাগ
২. বীজগণিতীয় রাশির যোগ. বিয়োগ, গুণ ও ভাগ সংক্রান্ত সমস্যা
নির্ধারিত কাজঃ
১. বীজগপিতীয় রাশির গুণের ক্ষেত্রে গুণের সূচক বিধি ও বষ্টন বিধি উদাহরণসহ উল্লেখ কর।
২. A = a² – a+1, B = a² + a+1 এবং C = a⁴ + a² +1 হালে দেখাও যে, BC÷B² – A = 0
৩. 18x³+ 15x² – x-2 এর দ্বিতীয় ও তৃতীয় পদ বন্ধনীর আগে (-) চিহ্র দিয়ে প্রথম বন্ধনীভুক্ত কর এবং প্রাপ্ত রাশিটিকে (2x + 1) ও (3x + 2) এর গুণফল দ্বারা ভাগ কর।
নির্দেশনাঃ
১. শিক্ষার্থীরা বীজর্পণিতীয় রাশির গুণ করার জন্য গুণের বিধিগুলো উপাহরণসহ উল্লেখ করবে।
২. বামপক্ষের রাশিটিকে সরলীকরণ করে A, B ও C এর মান বসিয়ে সঠিক প্রক্রিয়ায় সরলীকরণ করে সমীকরণের সত্যতা যাচাই করবে।
৩. সঠিক প্রক্রিয়ায় দ্বিতীয় ও তৃতীয় পদ বন্ধনীভুক্ত করবে এবং প্রাপ্ত রাশিটিকে প্রদত্ত রাশি দুইটির গুণফল দ্বারা ভাগ করবে।
উপরের প্রশ্নগুলো পড়ে নিশ্চয় তোমরা বুঝে গেছো আজকে এসাইনমেন্টটি তোমাদের অনেক সহজ হবে। এরকম অংক তোমরা এর আগে করেছো। তবে যারা মনে করছো একটু কঠিন হবে তারা নিচের নমুনা উত্তরটি দেখে নিজে কর।
১৩তম সপ্তাহের ৭ম শ্রেণীর গণিত অ্যাসাইনমেন্ট সমাধান ২০২১
১নং প্রশ্নের উত্তর
বীজগণিতীয় রাশির গুণের ক্ষেত্রে গুনের সূচক বিধি ও বণ্টন বিধি উদাহরণ সহকারে উল্লেখ করা হলো।
সূচক বিধিঃ
গুণের সূচক বিধি হল এমন একটি নিয়ম যেখানে a ✖ a বা a কে a দ্বারা গুণ করে a² আকারে লেখা হয়।
উদাহরণঃ i) a ✖ a ✖ a ✖ a = a⁴
ii) a⁴ ✖ a⁵ = a⁴⁺⁵ = a⁹
iii) (a⁴)² = a⁴ ˣ ² = a⁸
বন্টন বিধিঃ
বণ্টন বিধি হল গুণের এমন এক নিয়ম যেখানে গুণ্য বা গুণক এর কোনটি যদি একাধিক সমষ্টি বা অন্তর আকারে থাকে তাহলে বাইরে থাকা রাশিটি দিয়ে বন্ধনীর ভিতরের রাশি গুলোকে ক্রমান্বয়ে গুণ করতে হয়। এতে করে মানের কোনো পরিবর্তন হয় না।
উদাহরণঃ
7✖15 = 105
আবার, 7 ✖ (10+5)
= (7✖10) + (7✖5)
= 70+35
= 105
অর্থাৎ a✖(b+c+d) = ab+ac+ad
এটাই হলো গুনের বন্টন বিধি।
২নং প্রশ্নের উত্তর
দেওয়া আছে
A = a² – a+1,
B = a² + a+1,
এবং C = a⁴ + a² +1
= (a²)² + 2.a².1 +(1)²-a²
= (a²+1)²-a²
= (a² + a+1)(a² – a+1)
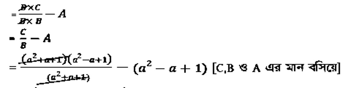
এখন, বামপক্ষ = BC÷B² – A
= (a² – a+1) – (a² – a+1)
= a² – a+1 – a² + a – 1
= 0
= ডানপক্ষ
∴ বামপক্ষ = ডানপক্ষ (দেখানো হলো।
৩নং প্রশ্নের উত্তর
18x³+ 15x² – x-2 এর দ্বিতীয় ও তৃতীয় পদ বন্ধনীর আগে (-) চিহ্র দিয়ে প্রথম বন্ধনীভুক্ত করা হলোঃ
∴ রাশিটি হবে, 18x³ -(- 15x² + x) -2
আবার, (2x + 1) ও (3x + 2) এর গুণফল হলো
= (2x + 1) ✖ (3x + 2)
= 6x²+4x+3x+2
= 6x²+7x+2
এখন 18x³ -(- 15x² + x) -2 কে 6x²+7x+2 দ্বারা ভাগ করি
∴ নির্ণেয় ভাগফল = 3x-1
আরো পড়ুনঃ
৭ম শ্রেণির গনিত এসাইনমেন্ট ২০২১
আমাদের সাথে থাকতে আমাদের ফেজবুক পেজে লাইক দিয়ে রাখো। অথবা আমাদের এসাইনমেন্ট ফেজবুক গ্রুপে যুক্ত হতে পারো। এসাইনমেন্টগুলো ভিডিও আকারে পেতে আমাদের ইউটিউব চ্যনেলটি সাবসক্রাইব কর।

আমাদের ইউটিউব লিংক
https://www.youtube.com/channel/UCea_DqYt9NegZgE5A-mdIag
ফেজবুক পেজ (সমস্যা ও সমাধান)
https://web.facebook.com/shomadhan.net
assignment all class (6-9)📝📝
https://web.facebook.com/groups/287269229272391
সতর্কতাঃ সবার উদ্দেশ্যে বলতে চাই আজকের সপ্তম শ্রেণীর গণিত অ্যাসাইনমেন্ট সমাধান ২০২১ কেবল মাত্র একটি নমুনা উত্তর। তাই তোমরা হুবুহু কপি না করে এটা থেকে ধারণা নিয়ে নিজে লেখার চেষ্টা কর। হুবুহু লিখলে খাতা বাতিল হওয়ার সম্ভবনা থেকে যায়। তাই তোমরা নিজে বানিয়ে বানিয়ে লিখবে।



