করোনাকালীন সময়ে তোমাদের এসাইনমেন্ট কার্যক্রমে আজকে তোমাদের ১৩ সপ্তাহের ৮ম শ্রেণির গণিত অ্যাসাইনমেন্ট সমাধান ২০২১ নিয়ে হাজির হলাম। তোমরা জানো তোমাদের অষ্টম শ্রেণির ১৩ সপ্তাহের গণিত অ্যাসাইনমেন্টটি খুবই গুরুত্বপূর্ণ।
১৩ সপ্তাহের ৮ম শ্রেণির গণিত অ্যাসাইনমেন্ট সমাধান ২০২১
তোমরা যারা তোমাদের অষ্টম শ্রেণির ১৩ সপ্তাহের গণিত এসাইনমেন্ট প্রশ্নগুলো দেখোনি তারা এসাইনমেন্ট প্রশ্নগুলি দেখে নাও।
১৩ সপ্তাহের ৮ম শ্রেণির গণিত অ্যাসাইনমেন্ট প্রশ্ন
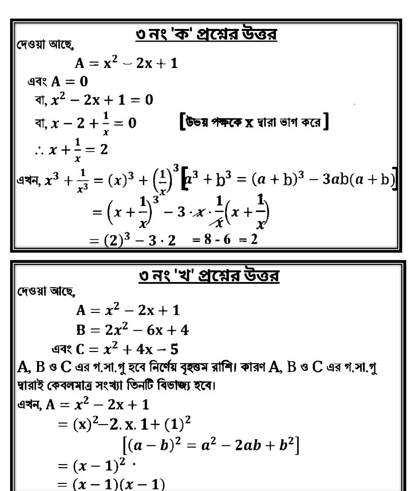
১৩ সপ্তাহের ৮ম শ্রেণির গণিত অ্যাসাইনমেন্ট সমাধান
আরো পড়ুনঃ
- ৮ম শ্রেণীর অ্যাসাইনমেন্ট গণিত সমাধান ২১তম সপ্তাহ
- ৮ম শ্রেণীর ১৮তম সপ্তাহের অ্যাসাইনমেন্ট গণিত সমাধান ২০২১
- ১৫ সপ্তাহের ৮ম শ্রেনির বিজ্ঞান অ্যাসাইনমেন্ট উত্তর ২০২১
- ১৩ সপ্তাহের ৮ম শ্রেণির বাংলা এসাইনমেন্ট উত্তর
৮ম শ্রেণির গনিত এসাইনমেন্ট ২০২১
আমাদের সাথে থাকতে আমাদের ফেজবুক পেজে লাইক দিয়ে রাখো। অথবা আমাদের এসাইনমেন্ট ফেজবুক গ্রুপে যুক্ত হতে পারো। এসাইনমেন্টগুলো ভিডিও আকারে পেতে আমাদের ইউটিউব চ্যনেলটি সাবসক্রাইব কর।

আমাদের ইউটিউব লিংক
https://www.youtube.com/channel/UCea_DqYt9NegZgE5A-mdIag
ফেজবুক পেজ (সমস্যা ও সমাধান)
https://web.facebook.com/shomadhan.net
assignment all class (6-9)📝📝
https://web.facebook.com/groups/287269229272391
সতর্কতাঃ সবার উদ্দেশ্যে বলতে চাই আজকের অষ্টম গণিত অ্যাসাইনমেন্ট সমাধান ২০২১ কেবল মাত্র একটি নমুনা উত্তর। তাই তোমরা হুবুহু কপি না করে এটা থেকে ধারণা নিয়ে নিজে লেখার চেষ্টা কর। হুবুহু লিখলে খাতা বাতিল হওয়ার সম্ভবনা থেকে যায়। তাই তোমরা নিজে বানিয়ে বানিয়ে লিখবে।



