তোমরা যারা ২০২১ সালের এইচএসসি পরীক্ষার্থী তাদের জন্য মাধ্যমিক ও উচ্চশিক্ষা অধিদপ্তর এসাইনমেন্ট প্রকাশ করেছে। ১ম সপ্তাহে তোমাদের পদার্থবিজ্ঞান ১ এসাইনমেন্টটি লিখতে হবে। আমরা আজ তোমাদের এইচএসসি পরীক্ষা ২০২১ পদার্থবিজ্ঞান ১ম সপ্তাহ এসাইনমেন্ট উত্তর প্রকাশ করলাম।
আমরা জানি এই এসাইনমেন্টগুলো তোমাদের জন্য খুবই গুরুত্বপূর্ণ। এবং এর উপরের তোমাদের পরীক্ষার মার্ক নির্ভর করবে তাই আমরা চেষ্টা করবো তোমাদের সঠিক উত্তর প্রদান করতে।
এই সাইনমেন্টটি তোমাদের পদার্থবিজ্ঞান বইয়ের দ্বিতীয় অধ্যায় ভেক্টর থেকে দেওয়া হয়েছে। এই অধ্যায়টি অনেকের কাছে খুবই কঠিন। অনেকে হয়তো এই ভেক্টর অধ্যায়টি পড়নি। তাদের জন্য এই এসাইনমেন্টটি কঠিন হতে পারে। তাই তোমাদের বলবো পোস্টটি সম্পূর্ণ পড়তে। কারণ আমরা তোমাদের অনেক নির্দেশনা দিই যা তোমাদের অ্যাসাইনমেন্ট লিখতে ও ফুল মার্ক পেতে সহায়তা করে।
এইচএসসি পরীক্ষা ২০২১ পদার্থবিজ্ঞান ১ম সপ্তাহ এসাইনমেন্ট উত্তর
২০২১ সালের এইচএসসি পরীক্ষার্থীদের জন্য আজকের পোস্টে আমরা উত্তরটি সঠিক ও নির্ভূল দেওয়ার চেষ্টা করেছি। তোমরা নিশ্চিন্তে উত্তরটি লিখতে পারো। তবে খুব মনোযোগের সাথে ও ভালোকরে দেখে লিখ। কারণ পদার্থবিজ্ঞানের ভেক্টরগুলো বইয়ের মত করে লেখা সম্ভব নয় তাই ছবি আকারে দেওয়া হলো।
এইচএসসি পরীক্ষা ২০২১ পদার্থবিজ্ঞান ১ম সপ্তাহ এসাইনমেন্ট প্রশ্ন
অ্যাসাইনমেন্টঃ
একটি ত্রিমাত্রিক প্রসঙ্গ কাঠামাে চিন্তা করাে। প্রসঙ্গ কাঠামোটির মূলবিন্দু সাপেক্ষে দুটি বিন্দুর অবস্থান যথাক্রমে P(3,-4,5) ও Q(2,-1,1)। P ও Q বিন্দুর অবস্থান ভেক্টরকে যথাক্রমে P ও Q দ্বারা নির্দেশ করাে।
(ক) P বিন্দুটির অবস্থান ভেক্টর নির্ণয় করাে। PQ এর সমান্তরালে একটি একক ভেক্টর নির্ণয় করাে। (
খ) P ও Q ভেক্টরদ্বয় একটি ত্রিভুজের দুটি সন্নিহিত বাহু নির্দেশ করলে, ত্রিভুজের ক্ষেত্রফল কত?
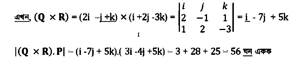
(গ) ধরাে তােমার প্রসঙ্গ কাঠামােতে অপর একটি ভেক্টর R = î+2j – 3k । P, Q এবং R চিত্র ১ এর ন্যায় একটি ঘন সামান্তরিকের তিনটি বাহ নির্দেশ করলে সামান্তরিকটির আয়তন নির্ণয় করাে ও উত্তরের পক্ষে তােমার ব্যাখ্যা উপস্থাপন করাে।
(ঘ) এবার একটি নদীর প্রস্থ হিসেবে P এর মানকে বিবেচনা করাে। ধরাে, Q সেই নদীর স্রোতের বেগ ও R নৌকার বেগ নির্দেশ করছে এবং তুমি ঐ নৌকায় বসে আছ। এখন সবচেয়ে কম সময়ে নদী পার হতে তুমি কী ব্যবস্থা করবে? গাণিতিকভাবে দেখাও। (নৌকাটি এর চেয়ে জোরে চালানাে সম্ভব নয়)
(ঙ) নদী পার হওয়ার সবচেয়ে কম সময় কত ছিল তা নির্ণয় করাে। (চ) এখন এই নদী সবচেয়ে কম দূরত্বে পার হতে নৌকাটির বেগের ও সময়ের কোনাে পরিবর্তন করতে হবে কিনা? গাণিতিক যুক্তি বিশ্লেষণ করাে।
নির্দেশনাঃ
পরিমাপের ক্ষেত্রে দৈর্ঘ্য কিলোমিটার একক এবং বেগ কিলোমিটার ঘন্টা এককে পরিমাপ করতে হবে।
পদার্থবিজ্ঞান ১ম সপ্তাহ এইচএসসি পরীক্ষা ২০২১ এসাইনমেন্ট উত্তর









